Bira Mayası Nedir?
Bira Mayaları
Bira mayası yani maya kelime anlamıyla Türkçede sadece maya anlamına gelirken, batı dillerinde maya için kullanılan kelimeler fermantasyon olayının dış görünüşünü anlatır. Mesela Almancadaki "Hefe" ve Fransızcadaki "Levure" kelimeleri Türkçede "kaldırmak" anlamına gelen "heben" ve "lever" den gelir, İngilizce "yeast" kelimesi ise Türkçede "köpük" anlamına gelir.
Mayalar tabiatta çok yaygın olan mikro organizmalardır. Esas olarak toprakta, tatlı ve sulu meyvelerde bulunurlar. Maya üzerinde bulunduğu bitkilerden yağmurla, düşen yaprak ve meyvelerle toprağa geçer ve toprağın daha çok üst katmanlarında, 0-10 cm derinliklerinde kışı geçirir. Vahşi maya toplayarak çoğaltmak veya üretim yapmak isteyen üreticilerin toprak üzerindeki bu 10 cm tabakada maya kültürü topladığı bilinmektedir. Ancak mayanın nakledildiği yerde yerleşmesi onun tür özellikleriyle, yani şekeri fermente etmesiyle, bazı gelişme faktörlerinin var olmasıyla, fiziksel ve kimyasal şartlara karşı durumuyla, organik asitler oluşturmasıyla, bu asitleri parçalamasıyla ve burada sözü edilmeyen veya henüz bilinmeyen birçok etkenle ilgilidir.
Şarap üretiminden bir örnek verilebilir. Üzüm üzerinde şaraphaneye gelen mayalar üzümün işlenmesi sırasında şıraya geçer. Fermantasyon süresince ortamdaki maya florasında bileşim ve miktarda olan değişiklikleri her şeyden önce mayanın alkole karşı dayanıklılığı belirler. Örneğin, her şarap fermantasyonunda kesin olarak bulunan Kloeckera apiculata ancak %4-6 alkole dayanabildiğinden, fermantasyonun ortalarına doğru ortamdan kaybolur ve alkole daha dayanıklı maya olan Saccharomyces ellipsoideus ortama hâkim olur.
Bira Mayasının Yapısı
Mayalar tek hücrelidirler ve genel olarak oval, yuvarlak, silindir veya limon şeklinde olurlar. Hücre şekli türe, hatta tek tek hücrelere göre değiştiği gibi, gelişme ve saklama şartları ile de büyük ölçüde değişir. Buna örnek vermek gerekirse, sürekli fermantasyonlarda kullanılan mayalar veya azot bakımından zengin olan besi yerlerinde daha uzun hücreler oluşmaktadır. Yanı sıra yaşın da büyük önemi vardır. Genç hücreler yaşlı hücrelerden daha değişik şekiller gösterebilirler.
Şekil olarak maya türlerini ayırt etmek zordur ama genel olarak Saccharomyces cerevisiae yuvarlak veya elips şeklinde, Saccharomyces Pastorianus ise uzun, sosise benzer bir şekilde görülür.

Saccharomyces cerevisiae

Saccharomyces pastorianus
Değişik şekillere de rastlandığından esas olarak Saccharomyces türlerini bilmeyen bir gözün birbirinden ayırt etmesi zordur.
Maya hücrelerinin büyüklüğü 8x10 (micron) kadardır. Bununla beraber hücre büyüklüğü beslenme ve kültürün yaşına bağlı olarak değişiklikler gösterir.

Maya hücresinin kesiti
Maya hücresi bitki hücresi gibi, bir hücre duvarı, sitoplazma ve çekirdek kısımlarından oluşmuştur. Hücrenin içini dolduran sitoplazma, taze ve genç hücrelerde muntazam dağılmış olup saydam ve hafif mavimsidir. Hücre duvarı hücreyi çevirmiştir. Genç hücrelerde duvar renksiz, ince ve gergindir fakat diğer bitki hücrelerinkinin aksine esnektir ve genleşebilir. Hücre yaşlandıkça hücre duvarı kalınlaşır. Hücre duvarından ayrı olarak hücre duvarının hemen altında sitoplazmik membran hücrenin besin maddelerini seçmesinde ve onların hücre içine, metabolizma ürünlerinin ise hücre dışına naklinde önemli bir rol oynar. Yani hücre duvarı altındaki sitoplazmik membran şeker türlerinin maya içine geçmesini ve karbondioksit ve etil alkol olarak dışına çıkmasını sağlar. Bu nedenle sağlıklı bir hücre duvarı ve membrana sahip maya hücresi uygun ortam olduğu zaman fermantasyonu sağlıklı şekilde sürdürecektir.
Bira Mayalarının Çoğalması
Mayalar tomurcuklanma ile çoğalırlar. Maya hücresinin bir tarafında, daha çok uç taraflarında bir şişkinlik meydana gelir. Bu şişkinlik giderek büyür ve bir tomurcuk halini alır. Bu sırada ana hücre ile tomurcuk, yani yavru hücre arasında bir kanal kalır. Meydana gelen yavru hücre ana hücre büyüklüğüne ulaştığında, kanal kapanır. Yavru maya hücresinin etrafı tam olarak hücre duvarı ile çevrilir ve böylece yeni bir hücre halini almış olur. Bu yavru hücre de aynı şekilde çoğalmaya başlar. Böylece aşağıdaki şekilde görüldüğü gibi "tomurcuklanma topluluğu" meydana gelir.

Tomurcuklanmış maya hücreleri
Bir ana hücre birçok defa yavru hücre meydana getirebilir. Ancak her yavru hücre ana hücre duvarının başka yerinde meydana geldiğinden, hücre duvarı elektromikroskop altında incelendiğinde yara izleri görülür. Yapılan araştırmalarda bir hücre duvarı üzerinde en fazla 20'ye kadar yara izine rastlanmıştır.
Her meydana gelen yavru hücre, ana hücreden ayrılabildiği gibi; ortam sakin kaldığı sürece ve özellikle fermantasyonun ilk dönemlerinde, birbirlerine yapışık kalırlar. Fakat fermantasyon başlayıp karbondioksit gazı çıkmaya balayınca, gazın çarpması, itmesi sonucu hücreler dağılır ve artık bu dönemde toplu hücre birlikleri görülmez; tek ya da en çok ikişer olarak sıvıya dağılmış olarak görülüler.
Bununla beraber bu durum maya türüne göre de değişir. Mesela üst fermantasyon mayası alt fermantasyon mayasına göre daha uzun ve daha dallı zincirler oluşturur. Mayanın çoğalma hızı ilk dönemde yavaştır (bekleme aşaması). Fakat belirli bir süre sonra hızlanır (üs cinsinden çoğalma aşaması). Ancak çoğalma bu tempo ile devam etmez. Çoğalma belli bir düzeyi bulunca tekrar yavaşlar ve sonunda durur (duraklama aşaması). En sonunda ölüm oranı yükseleceğinden çoğalma oranı düşmeye başlar (ölüm aşaması). Yeni meydana gelen bir hücrenin tam oluşumuna kadar 20-30 dakika ilâ 2 saat arasında bir süre geçer ve 24 saat içinde bir hücreden 4000 kadar yeni hücre meydana gelebilir.
Mayaların Çalışma Prensipleri
Sağlıklı maya hücreleri fermantasyon sırasında, esnek hücre duvarlarının altındaki membrandan içeri glikoz ve maltoz gibi basit şekerleri alır ve atık ürün olarak karbondioksit ve etil alkol üretip hücre duvarından dışarı atar. Fermantasyon sırasında maya kendi çoğalmasına da devam eder. Bir maya hücresi 1 sn‘de ortalama olarak 10 milyon maltoz molekülü parçalar. Her bir mayanın bu şeker moleküllerini parçalaması sırasında açığa bir miktar da enerji çıkar. Bu enerji mayşenin ısısının da artmasına neden olur. Bu nedenle craft bira yapımı sırasında başlangıcında olduğu kadar fermantasyon sırasında da sıcaklık kontrolü önem taşır.
C6H12O6 Maya- C2H5OH + 28,2 cal
| Mayşedeki Şeker oranları | |
| Glikoz (dekstroz) | % 10 - 15 |
| Fruktoz | % 1- 2 |
| Sükroz (Sakkaroz) (Toz şeker) | % 1- 2 |
| Maltoz | % 50 - 60 |
| Maltotrioz | % 15 - 20 |
| Dekstrin | % 20 -30 |
Tablo 1. Mayşedeki şeker türlerinin oranları
Tablo 1, tipik bir bira mayşesinde bulunan farklı şekerlerin yüzdesel miktarlarını gösterir. Ana bileşen maltozdur, ardından çeşitli dekstrinlerden, maltotrioz, glikoz yani bira yapımı malzemelerinden dekstroz, sükroz (sakkaroz – toz şeker) ve fruktoz gelir.
Glikoz (dekstroz) ve fruktozun açık zincir yapıları şu şekildedirler:

D-Glikoz ve L- Glikoz(dekstroz) zincir gösterimi

D-Fruktoz ve L-Fruktoz açık zincir gösterimi
Bu yapılar halka haline gelerek doğada bulunabilirler. Halka halinde olmaları ile açık zincir halinde bulunmaları arasında bir fark yoktur.
Maltoz, bir glikoz disakkarittir, yani iki glikoz molekülünden oluşur.

Maltoz açık zincir gösterimi
Maltotrioz, üç glikoz molekülünden oluşan bir trisakkarittir.

Maltotrioz açık zincir gösterimi
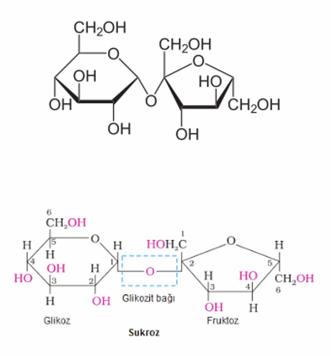
Sükroz yani evde bira yapımında kullandığımız şeker, bir glikoz ve bir fruktozdan oluşur ve bitkilerde (örneğin şeker kamışı, pancar, akçaağaç özü ve nektarda) doğal olarak var olur. Kimyasal yapısı ise şu şekildedir.

Sükroz (Sakkaroz) açık zincir gösterimi
Dekstrinler (oligosakkaritler), üçten fazla monosakkarit grubundan oluşan daha büyük şekerlerdir.

Dekstrin açık zincir gösterimi
Maya, monosakkaridler (basit şekerler), disakkarid ve sükroz (sakkaroz) ile başlayarak, mayşe içindeki şekeri büyüklük sırasıyla tüketir. Daha sonra ana mayşe bileşeni olan maltoza geçer ve son olarak trisakarit, maltotrioz ile fermantasyonu bitirir. İlginç bir şekilde, maya önce sakkaroz üzerinde çalışır, bu disakkaridi glikoza ve fruktoza parçalar, ardından maltoza geçmeden önce tüm glikoz ve fruktozu tüketir.
Mayşe içerisinde sakkaroz (evde bira yapımı için kullandığımız sofra şekeri) miktarı ne kadar az olursa maya o kadar hızlı şekilde küçük yapılı şekerleri yiyerek maltoza geçmiş olur. Bu nedenle mayşeye şeker takviyesi sırasında sofra şekeri yerine dekstroz kullanmak maya çalışması için daha iyi olacaktır.
Mayalanabilir son şeker olan maltotrioz tipik olarak mayşedeki toplam şekerin %15-20'sini oluşturur, ancak bu maya türüne bağlı olmasına rağmen genellikle tamamen fermente edilmez. Bu nedenle son halini almış birada halen fermente olmamış şeker bulunması problemi ortaya çıkabilmektedir. Bu problem, bira üreticilerinin sıklıkla karşılaşabileceği bir sorundur ve biranın tadını olumsuz yönde etkiler.
Örneğin, lager bira mayası, maltotriozu ale maya suşlarından daha iyi fermente eder.

Saccharomyces cerevisiae
Fermantasyonda Meydana Gelen Yan Ürünler
Bira mayası, fermantasyon sırasında etanol (etil alkol) ve karbondioksite ek olarak birçok farklı bileşik üretir. Bunların geneli esterler ve fenoller gibi bileşiklerdir. Bu bileşiklerin bazıları biranın içilmesi sırasında arzu edilirken; bazılarının bulunması hiç istenmez. Maya türlerinin farklı kültürlerinin olmasının nedeni olan bu yan ürünlerdir aynı zamanda. Her kültürün ayırt edilmesini sağlayan tüm bu bileşikleri ne kadar ürettiğidir. Kültür özenle çoğaltılırken de bu özelliklerinin korunması sağlanır.
Esterler biradaki meyveli tatlardan sorumludur, fenoller ise baharatlı tatlara neden olur. Üretilen bira tarzına bağlı olarak her ikisi de genellikle arzu edilir. Fakat bu maddelerin üretim sırasında belli miktarlarda olması istenir. Mesela, Diacetyl, biranın aromasına tereyağlı bir tat verir ve bazı ale stillerinde malt aromasını tamamlamaya yardımcı olur. Fakat bitmiş biranızda çok fazla diasetil oluşması pek istenmeyen yoğunlukta bir tereyağı tadı oluşmasına denen olur. Bunun gibi baharat tatları ile ilgili de benzer örnekler verilebilir.
Fakat bu tatlar sadece maya türü gereği oluşmaz. Bizlerin craft bira yapımında sıcaklığı doğru şekilde kontrol etmememiz, maya miktarını doğru belirlemememiz veya tekrar tekrar kullandığımız mayaların dejenere olup olmadığını kontrol etmememiz nedeniyle de oluşur.
Diğer bir istenmeyen ürün, ‘çözücü benzeri’ tatlara neden olan ve daha ağır molekülerden oluşan ağırlıklı alkoller yani fusel alkollerdir. Fusel alkoller (yüksek alkoller) şekerden değil fakat belli aminoasitlerin hidrolazlar tarafından parçalanması ile meydana gelirler. Yani mayşede bulunan azotlu bileşiklerin fermantasyon sırasında hidrolize olarak parçalanması ile oluşan uzun zincirli alkollerdir. Amilalkol, isobütil alkol, isopropyl alkol ve propil alkol gibi uzun zincirli alkoller fusel alkollerdendir

Fusel alkollerin hidroliz ile oluşumu
Son olarak, fermantasyon sırasında aminoasitlere (azotlu bileşiklere) ihtiyaç yoktur. Ancak bunlar hammaddenin yapısında doğal olarak bulunur. Ayrıca maya faaliyetini desteklemek amacıyla katılan azotlu maddelerin parçalanmasıyla da meydana gelmektedirler.
Kaynakça:
The Chemistry of Beer, Roger Barth
How to Brew, 4. Edition, John J. Palmer
Fermantasyon Mikrobiyolojisi, Prof. Dr. Hilmi Pamir
Fermentasyon Teknolojı̇sı̇: Bitkisel Fermantasyonlar, Prof. Dr. Muhammet Arıcı